2016研究生考试数学一答案解析
2016研究生考试数学一答案解析
一、选择题:1~8小题,每小题4分,32分,下列每小题给出的四个选项中,只有一项符合题目要求的,请将所选项前的字母填写在答题纸制定位置上

【点评】本题考查反常积分收敛的条件。此知识点在冲刺阶段的数学冲刺串讲班中第一部分高等数学有重点讲解,在强化阶段考研数学强化班高等数学第四章不定积分和定积分和强化阶段数学重点题型精讲班也均有涉及。

【点评】本题考查原函数。此知识点在冲刺阶段的数学冲刺串讲班中第一部分高等数学有重点讲解,在强化阶段考研数学强化班高等数学第四章不定积分和定积分和强化阶段数学重点题型精讲班也均有涉及。


【点评】本题考查微分方程。此知识点在冲刺阶段的数学冲刺串讲班中第一部分高等数学有重点讲解,在强化阶段考研数学强化班高等数学第五章微分方程和强化阶段数学重点题型精讲班也均有涉及。

【点评】本题考查函数的连续性与可导性。此知识点在冲刺阶段的数学冲刺串讲班中第一部分高等数学有重点讲解,在强化阶段考研数学强化班高等数学第二章导数与微分和强化阶段数学重点题型精讲班也均有涉及。

【点评】本题考查相似矩阵的性质。此知识点在冲刺阶段的数学冲刺串讲班中第二部分线性代数有重点讲解,在强化阶段考研数学强化班线性代数第五章特征值与特征向量和强化阶段数学重点题型精讲班也均有涉及。

【点评】本题考查二次型。此知识点在冲刺阶段的数学冲刺串讲班中第二部分线性代数有重点讲解,在强化阶段考研数学强化班线性代数第六章二次型和强化阶段数学重点题型精讲班也均有涉及。

【点评】本题考查正态分布。此数理统计冲刺阶段的数学冲刺串讲班中第三部分概率论与数理统计有重点讲解,在强化阶段考研数学强化班概率论与数理统计第二章一维随机变量及其概率分布和强化阶段数学重点题型精讲班也均有涉及。

【点评】本题考查相关系数。此数理统计冲刺阶段的数学冲刺串讲班中第三部分概率论与数理统计有重点讲解,在强化阶段考研数学强化班概率论与数理统计第四章随机变量的数字特征和强化阶段数学重点题型精讲班也均有涉及。
二、填空题9~14小题,每小题4分,共24分,请将所选项前的字母填写在答题纸制定位置上

【点评】本题考查函数的极限。此知识点在冲刺阶段的数学冲刺串讲班中第一部分高等数学有重点讲解,在强化阶段考研数学强化班高等数学第一章函数、连续、极限和强化阶段数学重点题型精讲班也均有涉及。

【点评】本题偏导数的应用。此知识点在冲刺阶段的数学冲刺串讲班中第一部分高等数学有重点讲解,在强化阶段考研数学强化班高等数学第六章空间解析几何与多元微分学和强化阶段数学重点题型精讲班也均有涉及。

【点评】本题考查全微分。此知识点在冲刺阶段的数学冲刺串讲班中第一部分高等数学有重点讲解,在强化阶段考研数学强化班高等数学第六章空间解析几何与多元微分学和强化阶段数学重点题型精讲班也均有涉及。

【点评】本题考查高阶导数。此知识点在冲刺阶段的数学冲刺串讲班中第一部分高等数学有重点讲解,在强化阶段考研数学强化班高等数学第二章导数与微分和强化阶段数学重点题型精讲班也均有涉及。

【点评】本题考查行列式的计算。此知识点在冲刺阶段的数学冲刺串讲班中第二部分线性代数有重点讲解,在强化阶段考研数学强化班线性代数第一章行列式和强化阶段数学重点题型精讲班也均有涉及。

【点评】本题考查置信区间。此数理统计冲刺阶段的数学冲刺串讲班中第三部分概率论与数理统计有重点讲解,在强化阶段考研数学强化班概率论与数理统计第七章参数估计和强化阶段数学重点题型精讲班也均有涉及。
三、解答题,15~23小题,共94分,请将所选项前的字母填写在答题纸制定位置上,解答应写出文字说明、证明过程或演算步骤。

【点评】本题考查二重积分的计算。此知识点在冲刺阶段的数学冲刺串讲班中第一部分高等数学有重点讲解,在强化阶段考研数学强化班高等数学第七章重积分和强化阶段数学重点题型精讲班也均有涉及。


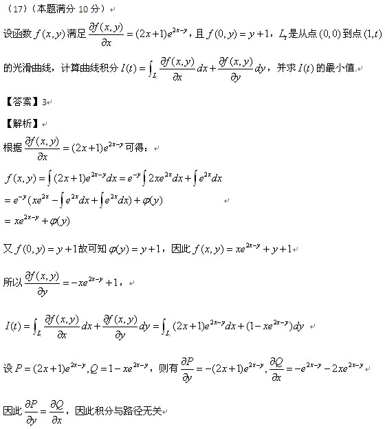
【点评】本题考查微分方程。此知识点在冲刺阶段的数学冲刺串讲班中第一部分高等数学有重点讲解,在强化阶段考研数学强化班高等数学第五章微分方程和强化阶段数学重点题型精讲班也均有涉及。















